Recall that Dijkstra's algorithm assumed positive edge weights. Why?
For any partitioning of vertices $V$ into $X$ and $Y = V \setminus X$ with $s \in X$:
If $p(v,x) = \min_{x \in X} (\delta_G(s,x) + w(x,v))$, then
$$\min_{y \in Y} p(y) = \min_{y \in Y} \delta_G(s, y)$$What goes wrong in this example?
if node in visited:
# Already visited, so ignore this longer path
return dijkstra_helper(visited, frontier)
Why would we ever have a graph with negative edge weights?
Since paths can get shorter as we add edges, we'll modify Dijkstra to instead keep track of both the weight and the number of edges in a path.
$\delta^k(u,v)$: weight of shortest path from $u$ to $v$ considering paths with at most $k$ edges.
Consider negative cycles: sum of weights in a cycle is less than 0

If there are no negative cycles:
If there are negative cycles:
As usual, we will assume we have recursively computed $\delta^k(s,v)$. To extend this to compute $\delta^{k+1}(s,v)$:
$$ \begin{align} \delta^{k+1}(s, v) = \min&(\delta^{k}(s, v),\\ &\min_{x \in N^-(v)} (\delta^{k}(s, x) + w(x,v)) \end{align} $$where $N^-(v)$ are the in-neighbors of $v$
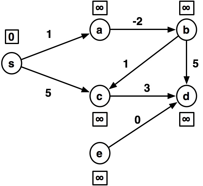
Consider this graph, where we have already computed the shortest paths from the source $s$ to vertices using $k$ or fewer edges.
When to stop?
Stop when the values converge, that is, when the next iteration makes no updates:
When $\delta^{k+1}(s,v)=\delta^{k}(s,v)$ $~\forall ~~ v$
but: if there are negative cycles, this may never be true.
So, we can instead stop after $|V|$ iterations.
Let's look at code and output on this example:
import math
def bellmanford(graph, source):
def bellmanford_helper(distances, k):
if k == len(graph): # negative cycle
return -math.inf
else:
# compute new distances
new_distances = compute_distances(graph, distances)
# check if distances have converged
if converged(distances, new_distances):
return distances
else:
return bellmanford_helper(new_distances, k+1)
# initialize
distances = dict()
for v in graph:
if v == source:
distances[v] = 0
else:
distances[v] = math.inf
return bellmanford_helper(distances, 0)
def compute_distances(graph, distances):
print("\n----")
new_distances = {}
for v, in_neighbors in graph.items(): # this loop can be done in parallel
# compute all possible distances from s->v
v_distances = [distances[v]]
for in_neighbor, weight in in_neighbors:
v_distances.append(distances[in_neighbor] + weight)
new_distances[v] = min(v_distances)
print("{}:{} ".format(v, new_distances[v]), end='')
return new_distances
def converged(old_distances, new_distances):
return old_distances == new_distances
# instead, represent in-neighbors for each node, for constant lookup
graph = {
's': {},
'a': {('s', 1)},# ('c', 0)},
'b': {('a', -2)},
'c': {('s', 5), ('b', 1)},
'd': {('b', 5), ('c', 3), ('e', 0)},
'e': {},
}
# original representation: map from node to out-neighbors
# graph = {
# 's': {('a', 1), ('c', 5)},
# 'a': {('b', -2)},
# 'b': {('c', 1), ('d', 5)},
# 'c': {('d', 3)},
# 'd': {},
# 'e': {('d', 0)}
# }
bellmanford(graph, 's')
---- s:0 a:1 b:inf c:5 d:inf e:inf ---- s:0 a:1 b:-1 c:5 d:8 e:inf ---- s:0 a:1 b:-1 c:0 d:4 e:inf ---- s:0 a:1 b:-1 c:0 d:3 e:inf ---- s:0 a:1 b:-1 c:0 d:3 e:inf
{'s': 0, 'a': 1, 'b': -1, 'c': 0, 'd': 3, 'e': inf}
graph2 = {
's': {},
'a': {('s', 1), ('c', -1)}, # make a negative cycle a->b->c->a, -2
'b': {('a', -2)},
'c': {('s', 5), ('b', 1)},
'd': {('b', 5), ('c', 3)},
'e': {},
}
bellmanford(graph2, 's')
---- s:0 a:1 b:inf c:5 d:inf e:inf ---- s:0 a:1 b:-1 c:5 d:8 e:inf ---- s:0 a:1 b:-1 c:0 d:4 e:inf ---- s:0 a:-1 b:-1 c:0 d:3 e:inf ---- s:0 a:-1 b:-3 c:0 d:3 e:inf ---- s:0 a:-1 b:-3 c:-2 d:2 e:inf
-inf
def compute_distances(graph, distances):
new_distances = {}
for v, in_neighbors in graph.items(): # this loop can be done in parallel
v_distances = [distances[v]]
for in_neighbor, weight in in_neighbors:
v_distances.append(distances[in_neighbor] + weight)
new_distances[v] = min(v_distances)
return new_distances
Work
compute_distances is $O(|V| \cdot |E|)$.def compute_distances(graph, distances):
new_distances = {}
for v, in_neighbors in graph.items(): # this loop can be done in parallel
v_distances = [distances[v]]
for in_neighbor, weight in in_neighbors: # Can be done in O(1) span
v_distances.append(distances[in_neighbor] + weight)
new_distances[v] = min(v_distances) # Can be done in O(lg n) span
return new_distances
Span
min operation will then take $O(\lg |V|)$ span, assuming we use reduce to implement it.What about the work to check if we have converged?
def converged(old_distances, new_distances):
return old_distances == new_distances
Under the hood:
def converged(old_distances, new_distances):
for k in old_distances:
if old_distances[k] != new_distances[k]:
return False
return True
This is $O(|V|)$
But, if we were more clever, we could include this check inside the compute_distances function, just before assigning the new_distances value.
...
min_v = min(v_distances)
if min_v != new_distances[v]:
converged=False
new_distances[v] = min(v_distances)
...
so, we don't incur any additional cost for this check.
Work: $O(|V| \cdot |E|)$
Span: $O(|V| \lg |V|)$
compare with:
Dijkstra:
$~~~$ Work $O(|E|\log |V|)$
$~~~$ Span $O(|E|\log |V|)$
BFS:
$~~~$ Work $O(|E|+ |V|)$
$~~~$ Span $O(|E| + |V|)$
So, we can see we pay significant costs going from unweighted $\rightarrow$ weighted-positive $\rightarrow$ weighted-negative graphs.
Bellman-Ford is used in network routing: